JavaScriptを有効(オン)にしてください。
当サイトを正常に表示・機能させるにはブラウザの JavaScript を有効(オン)にしていただく必要がございます。JavaScript を有効にする方法は、お使いのブラウザのヘルプを参照してください。
私立
おうびりん
桜美林大学
大学からのお知らせ 過去問解答例
桜美林大学(一般入学者選抜前期(2月1日)) 解答例
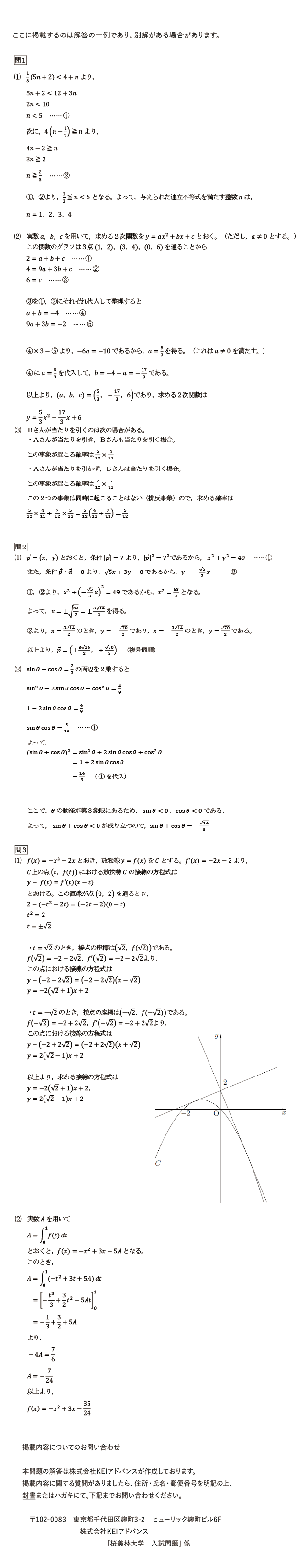
数学I・II・A・B
PAGE TOP